Deepseek EMI Calculator
Plan your finances with confidence using our smart EMI Calculator instantly calculate your monthly payments, compare loan options, and make smarter borrowing decisions.
Results
Are you planning to take a home loan, car loan, or personal loan and want to know your monthly payment in advance?
Our EMI Calculator is the easiest and most accurate way to find out how much you’ll pay every month.
This smart online tool instantly calculates your Equated Monthly Installment (EMI) based on your loan amount, interest rate, and tenure. Whether you’re financing a home, vehicle, or business, understanding your EMI helps you plan your budget and make confident financial decisions.
Let’s explore how this EMI Calculator works, why it’s useful, and how you can use it to manage your money wisely.
What Is an EMI Calculator?
An EMI Calculator is an online tool that helps you estimate your monthly loan repayment (EMI) using three main factors:
- Loan Amount ($): The total amount you plan to borrow.
- Annual Interest Rate (%): The interest charged on your loan per year.
- Loan Tenure (Months/Years): The total duration for repayment.
Once you enter these values, the calculator gives you an instant result showing how much you’ll pay each month, along with the total interest and repayment amount.
Knowing your EMI beforehand helps you avoid surprises, compare loan offers, and plan your finances with confidence.


How Does the EMI Calculator Work?
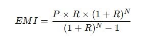
The EMI is calculated using a universal financial formula that considers both principal and interest:

Where:
- P = Loan Amount ($)
- R = Monthly Interest Rate = (Annual Interest Rate ÷ 12 ÷ 100)
- N = Loan Tenure (in months)
This formula ensures that your EMI includes both principal repayment and interest, giving you a complete picture of your loan obligations.
Step-by-Step Guide: How to Use the EMI Calculator
Follow these simple steps to calculate your monthly installment:
Step 1: Enter Your Loan Details
Loan Amount: Example – $50,000
Annual Interest Rate: Example – 7.5%
Loan Tenure: Example – 60 months (5 years)
Step 2: Click “Calculate EMI”
The tool will instantly process your data and show:
Monthly EMI (your fixed monthly payment)
Total Interest Payable
Total Amount Payable (Principal + Interest)
Step 3: Compare and Adjust
Experiment with different loan amounts, rates, or tenures to find the most affordable EMI for your budget.
Step 4: Reset Anytime
To perform a new calculation, simply click the Reset button and start fresh.
Real-Life Applications of the EMI Calculator
Our EMI Calculator can be used in many financial situations, such as:
🏠 Home Loans
Calculate your monthly installment before applying for a mortgage. Compare banks and choose the best home loan plan.
🚗 Car Loans
Know your monthly car payments in advance and plan your purchase without affecting your other expenses.
💳 Personal Loans
Estimate how much you’ll pay monthly for short-term personal loans or credit card balance transfers.
👨💼 Business Loans
Plan your startup or expansion budget by understanding how much working capital repayment will cost each month.
👩🏫 Students & Financial Learners
Use it as an educational tool to study the impact of interest rates and loan tenure on EMI values.
Benefits of Using the EMI Calculator

Why EMI Calculation Matters
Knowing your monthly EMI in advance helps you make smart financial decisions.
You can easily check if a loan fits your monthly budget, avoid financial strain, and negotiate better interest rates.
It also gives you a clear idea of how much total interest you’ll pay helping you choose the most cost-effective option in the long run.
Example EMI Calculation
Let’s see an example:
- Loan Amount: $100,000
- Interest Rate: 8% per annum
- Tenure: 120 months (10 years)
Monthly Interest Rate = 8 / 12 / 100 = 0.0067

- Your monthly EMI would be $1,213.28
- Total Payable Amount = $145,594
- Total Interest Payable = $45,594
Frequently Asked Questions (FAQs)
1. What does EMI stand for?
EMI stands for Equated Monthly Installment — the fixed amount you pay every month towards your loan.
2. How can I calculate EMI manually?
You can use the formula:
EMI = (P × R × (1+R)^N) / ((1+R)^N – 1),
where P = loan amount, R = monthly interest rate, N = tenure in months.
3. Can I use this calculator for any type of loan?
Yes! It works for home loans, car loans, personal loans, education loans, and more.
4. Is this tool free?
Absolutely. The EMI Calculator is completely free and can be used anytime, anywhere.
5. What happens if I enter wrong values?
The calculator will not process invalid or negative numbers. Double-check your entries and try again.
6. Can I reduce my EMI?
Yes. You can lower your EMI by increasing your tenure, negotiating a lower interest rate, or making part prepayments.
Final Thoughts
A clear understanding of your EMI is the first step toward smart financial management.
Our EMI Calculator helps you plan your budget, compare loan offers, and make better borrowing decisions all within seconds.
Whether you’re buying a new home, a car, or taking a personal loan, this free tool gives you instant, accurate insights for confident financial planning.
So, why wait?
👉 Try the EMI Calculator now and take full control of your finances today! 💸